Home Simfit Manual sv_Manual Tutorials SVG Models Simdem Download Support

simfit logo Plotting styles: details in the reference manual

View this gallery in large high definition SVG format


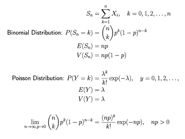
Fitting recurrent epidemic differential equations Recurrent epidemic phase plane Phase portrait for van der Pol oscillator Plotting beta distributions with equation pdf and cdf for beta distribution Formula1 Plotting LaTeX Chemical formulas Equation1 Poisson fit 3D waves rosenbrocks function Bray-Curtis dendrogram Trinomial parameter 95% confidence contours Plotting LaTeX maths equations Multivariate K-means clustering diffusion from a plane source 8-leaved rose of Abbe Grande deconvolution of 3 Gaussians fitting a convolution integral Scatchard plot for ligand binding Cohran-Mantel-Haenszel Meta Analysis log odds ratios cubic splines smoothing best fit normal cdf Kaplan-Meier survival analysis 3D cylinder plot with error bars phase portrait for Lotka-Voterra equations orbits for a differential equation Perspective in pie charts Perspective in box and whisker plots Multivariate two dimensional Biplot Multivariate three dimensional Biplot Three dimensional scatter diagram Times Series Partial Autocorrelation Function ARIMA forecasts with 95% confidence limits ANOVA Power and Sample Size Analysis of Flow Cytometry Histograms 95% confidence ellipses Venn Diagram for the Addition Rule Highlighting centroids for K-means clusters Semilog inset plot for exponential fitting Extrapolating double reciprocal inhibition plots 3D surface plot for z = f(x,y) Plotting slanted and multiple error bars Double plots with two scales Damped oscillations Bar chart features Stacked bar chart features Periodic impulse functions Periodic impulse functions Camalot logarithmic spiral Hill Plot Tukey-Hanning 4253H twice smoother cubic bessel_interpolation Doughnut piechart random walk in one dimension random walk in two_dimensions random walk in three dimensions skyscraper_plot for bivariate normal distribution
Simfit home page